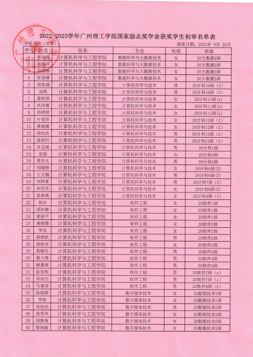
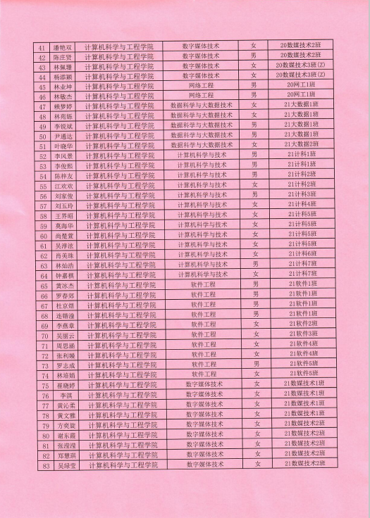
根据《关于开展2022—2023学年国家励志奖学金评选工作通知》(广州理工学助函〔2023〕9号),按照公平、公开、公正的原则,现将评比结果予以公示,公示期为2023年9月25日至9月29日。若对公示有异议,请以书面形式向以下受理部门反映,反映情况时请署名真实姓名和联系电话,不签署真实姓名或不提供具体事实材料的,将不予受理。
联系地址:信息楼309
联系人:胡佩
联系电话:020-87477070
邮箱:jsj@gzist.edu.cn



开云(中国)Kaiyun·官方网站-登录入口 地址:11栋信息楼309
电话:020-39729803 邮编:510540